必赢电子游戏网站2022年7月28日电 每立方厘米的空气中,都存在着数以万计的超细颗粒物。每至晴朗的正午时分,空气中的气体分子就可能在光化学反应的驱动下相互结合生成稳定的分子团簇,进而转化为颗粒物,在数小时内可将颗粒物数浓度提高一个数量级。这一新粒子生成现象何以快速发生?必赢电子游戏网站蒋靖坤教授组织的研究团队发现,酸碱反应是空气中气体分子克服表面张力快速生成新粒子的主要驱动力,而其关键机制在于酸碱双分子团簇的生成。
二氧化硫通过光化学反应生成的气态硫酸分子是新粒子的主要前体物。研究团队在北京、上海的大气观测,以及欧洲核子研究组织此前在CLOUD烟雾箱的实验均发现,新粒子生成期间存在大量含有硫酸分子的团簇(图1);所测得的部分含硫酸团簇以硫酸-有机胺等酸碱团簇形式存在,说明有机胺等碱性气体分子可以参与含硫酸团簇的生成,增加团簇的稳定性,提高气态硫酸分子转化为新粒子的速率。

图1 新粒子生成期间气态分子和团簇组分
然而,所测得的酸碱团簇中碱性分子数量均小于硫酸分子数量,且碱性分子最早出现于含两个硫酸的团簇中。故曾有理论认为,气态硫酸转化为新粒子需首先生成硫酸双分子团簇,而碱性分子与硫酸双分子团簇的结合是决定新粒子生成速率的关键步骤。
研究团队却发现,气态硫酸和含硫酸团簇的组分的测量不可避免地存在偏差。原本存在于含硫酸团簇中的碱性分子很有可能在荷电等测量过程中丢失,从而呈现酸多碱少的假象。更重要的是,不完整团簇组分的背后可能隐藏着新粒子生成的关键团簇和关键机制。
结合理论与观测,研究团队提出:酸碱双分子团簇的生成是新粒子生成的关键机制。相比于传统的硫酸双分子团簇生成机制,酸碱双分子团簇具有更高的化学稳定性,可以更高效地生成含两个或更多硫酸分子的稳定团簇,从而更高效地生成新粒子。
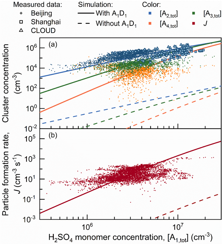
为验证新机制,研究团队结合量子化学与团簇动力学模拟了新粒子生成过程,并将模拟结果与大气观测和烟雾箱实验结果进行了对比。如图2所示,新机制所预测的含硫酸团簇和新粒子的生成速率比传统机制提高了几个数量级,与大气观测和烟雾箱实验结果呈现较好的一致性。

图2 理论与观测结果对比。实线为新机制,虚线为传统机制,散点为观测值
新机制表明,所测得的气态硫酸分子实际上有相当比例以酸碱双分子团簇形式存在,且气态硫酸将以酸碱双分子团簇形式参与更大团簇的生长过程。同时,有机胺浓度的上升可提高酸碱双分子团簇在气态硫酸中的占比,进而增加气态硫酸之间有效碰撞并生成更大团簇的概率,将团簇生成速率和新粒子生成速率推向理论最大值(图3)。

图3 含两个硫酸分子团簇相对浓度(纵轴)与酸碱双分子团簇比例(横轴)
新机制也解释了大气新粒子生成现象随温度变化的特征。当气温上升时,酸碱双分子团簇的稳定性下降,其生成受到抑制,故高温不利于酸碱团簇和新粒子的生成。如图4所示,北京、上海两地所测得的酸碱团簇浓度与新粒子生成速率均随温度上升而下降,与新机制的预测结果一致。这也回答了北京新粒子生成现象在光照较强的夏季反而较弱的难题。

图4 温度对新粒子生成的影响。(a)酸碱双分子团簇比例;(b)含两个硫酸分子团簇浓度;(c)新粒子生成速率
在多种污染物并存的复杂大气环境中,碱性较强且浓度较高的气体分子更容易与气态硫酸分子结合生成酸碱双分子团簇。研究团队对测到的碱性气体进行了热力学和动力学表征,发现以二甲胺为代表的有机胺是生成酸碱双分子的关键碱性分子,而氨气等弱碱性气体则更可能参与后续团簇生长过程(图5)。在这些碱性气体的帮助下,气态硫酸转化为新粒子只需要跨越一个很低的能垒,进而实现了接近于硫酸碰撞动力学极限(理论最大值)的高新粒子生成速率。

图5 新粒子生成的自由能垒。纵轴自由能值越低,团簇越容易生成。
上述成果凸显了有机胺等碱性较强的气体分子对于大气边界层内超细颗粒物生成的重要意义,及其对区域大气和全球气候的影响。
该成果以“大气酸碱成核中隐藏的碱性分子”(The missing base molecules in atmospheric acid-base nucleation)为题发表于《国家科学评论》(National Science Review,NSR)期刊,必赢电子游戏网站博士毕业生、赫尔辛基大学博士后蔡润龙为论文第一作者,必赢电子游戏网站蒋靖坤教授和赫尔辛基大学马库·库马拉(Markku Kulmala)教授为共同通讯作者,合作单位包括北京化工大学、南京信息工程大学、复旦大学、北京理工大学、加州大学、卡耐基梅隆大学等。
论文链接:https://doi.org/10.1093/nsr/nwac137
供稿:大气污染与控制教研所